□ 개요
-미국은 옥수수 생산량 1위 국가로 전세계 옥수수의 32%를 생산함 (2위 중국, 25%)
-미국 중서부 지역인 콘벨트(Corn Belt)는 미국 내 옥수수 생산의 약 75%를 차지함.

□생산 싸이클
-파종(Planting)
남부 지역에서는 이르면 3월부터 시작되어 콘벨트는 4월말, 북부 지역은 5월말에 완료됨
-개화(Silking)
콘벨트는 7월초에서 중순 사이 (파종으로부터 약 65~80일 후)
-알곡형성(Grain Filling)
콘벨트는 7월 중순부터 8월 말까지 (개화로부터 약 20~30일 후)
-수확(harvest)
콘벨트에서 9월 중순에서 11월 초까지 (알곡형성으로부터 약 50~60일 후)
□ 거래 싸이클
-파종이 본격적으로 시작되는 4월부터 성장기가 끝나는 9월까지 선물 거래가 활발함
-수확량의 불확실성으로 인해 파종기부터 가격이 올라 7월경에 정점을 찍고 이후 시세가 하락하는 경향이 있음
→11~12월은 수확된 신곡(New crop)의 유입으로 인해 나머지 달보다 일반적으로 가격이 낮음
□ 재배조건
-원산지가 열대지방이기 때문에 따뜻한 기후조건을 유지하는 것이 관건이며, 날씨가 가격에 많은 영향을 미침
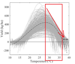
-but 30°C 이상부터는 수분 감소로 알곡 형성을 저해하며, 특히 열대야는 잎 면적을 줄이고 광합성을 감소시킴

→ 30°C가 넘어가면 생산량이 극적으로 떨어짐
-파종기의 기후조건은 발아 및 그 이후의 성장 속도를 좌우하므로 가장 중요함
→ 일평균 기온 약 15~18°C, 월평균 강수량 약 50~75mm 정도가 이상적
-개화기와 알곡 형성기는 많은 물이 필요한 시기이며, 옥수수의 수확량과 품질을 결정함
→ 개화기는 일평균 기온 약 21~30°C, 월평균 강수량 약 75~100mm 정도가 이상적
→ 알곡형성기는 일평균 기온 약 20~28°C, 월평균 강수량 약 50~75mm 정도가 이상적
-수확기에는 원활한 작업과 알곡 건조 ...

