오늘은 26년 3월 동안 10년물 금리는 어떻게 움직였고, 채권 시장은 미국의 경제를 어떻게 봤는지에 대해서 이야기를 해보려 합니다. 들어가기에 앞서 10년물 채권 금리의 구성 요소인 DKW 모델의 각 항목에 대해서 설명을 해보겠습니다.
10년물 금리에 요소가 5가지가 있죠.. 하나하나 이야기를 해드리자면요..
1. 단기 실질금리는 경제의 상황과 연준의 실질 기준금리 전망을 나타내는 요소입니다.
2. 기대 인플레이션은요.. 10년물이니 장기적인 기대 인플레이션이 어떠한가?를 반영하는 지표입니다.
3. 기간 프리미엄은요… 국채 수급 부문과 + 통화정책 불확실성에 반응을 하는 항목입니다.
4. 인플레이션 리스크는요 스태그플레이션이 일어날 것인가..?에 대한 반응을 보여주는 항목 입니다.
5. 텀 프리미엄 : 이건 기간 프리미엄 + 인플레이션 리스크 요인으로 흔히들 아시는 불확실성에 대해서 반응을 하는 부분이라고 보시면 됩니다.”
우선 1번과 2번은요 경기 상황에 대한 부분을 잘 보여줍니댜. 매크로적 상황에 따른 채권 시장이 보는 연준의 금리 전망과 인플레이션 부분을 어떻게 생각하는 지 잘 보여주는 항목들이구요..
3번과 4번 항목을 더한 것이 5번의 항목인데요.. 이건 연준 인사들의 발언이 뒤죽박죽 섞이면서 앞으로 불확실한 통화정책이 예상된다는 등 혹은 재정적자가 심화될 것이라는 요인과 같이 불확실한 상황이라면 튀어 오릅니다.
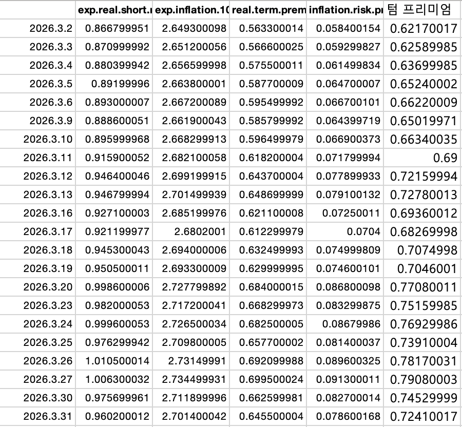
다음으로는 26년 2월27일 수치와 3월31일 수치를 비교해 어떤 항목이 가장 많이 내려왔는지 한 번 보겠습니다.



ㅁ 3월 총변화 부문
26년 2.27 > 26.3.31 DKW 각 항목별 변화
1). 단기 실질금리 : 0.8367 > 0.9602 (+0.1235)
2). 기대 인플레이션 : 2.6312 > 2.7014 (+0.0702)
3). 실질 기간프리미엄 : 0.537 > 0.6455 (+0.1085)
4). 인플레이션 리스크 프리미엄 : 0.0525 > 0.0786 (+0.0261)
5). 텀 프리미엄( 3 + 4) : 0.5895 > 0.7241 ( +0.1346)
6). 10년물 금리 : 3.962% > 4.311% (+0.349%p)






